Kumpulan Soal Matematika Kelas 10 Tentang Fungsi Komposisi
X 2 3x 14 b. Soal berikut ini adalah latihan online untuk persiapan uas ulangan akhir semester 2 mata pelajaran matematika mtk untuk kelas sepuluh sma ma yang kami bagikan sebagai bahan latihan menghadapi uas karena dengan banyak berlatih mengerjakan soal uas.

Intip Solusi Super Menyelesaikan Soal Fungsi Komposisi Buat Kelas 10
Memahami Komposisi Fungsi - Matematika Wajib Kelas 10 Kurikulum 2013 Alkawarizmi X wajib Alkawarizmi Komposisi fungsi merupakan penggabungan dua atau lebih fungsi dengan aturan tertentu.

Kumpulan soal matematika kelas 10 tentang fungsi komposisi. Kumpulan Soal SBMPTN 19 December 2020 Soal Biologi Virus dan Monera 28 March 2021 Termokimia Kelas 11 23 March 2021 Modul UTBK Saintek 1 February 2021 Soal Matematika Pertidaksamaan Nilai Mutlak 30 March 2021. Home CONTOH SOAL DAN PEMBAHASAN TENTANG FUNGSI KOMPOSISI DAN INVERS CONTOH SOAL DAN PEMBAHASAN TENTANG FUNGSI KOMPOSISI DAN INVERS Widi Thursday 9 February 2017. Materi dan contoh soal fungsi dalam matematika wajib kelas 10 kurikulum 2013.
Pembahasan Kumpulan Soal Fungsi Komposisi Kelas 10 Oleh kkaktri 12 Jan 2021 Pembahasan Kumpulan Soal Fungsi Komposisi Kelas 10. Soal matematika tentang fungsi invers dan komposisi By H husni Soal fungsi komposisi By Dwi Sitoh PG MNJODOHKAN BENAR SALAH By Hanna Sitohang Modul-matematika-kelas-xi-komposisi-dan-fungsi By rizky kimberly. Contoh soal dan pembahasan tentang fungsi komposisi.
Komposisi fungsi umumnya. Semoga dengan memahami latihan soal di atas anda bisa meningkatkan kemampuan anda untuk Semoga dengan memahami latihan soal di atas anda bisa meningkatkan kemampuan anda untuk menyelesaikan persoalan fungsi komposisi lainnya. Berikut ini adalah kumpulan beberapa soal mengenai komposisi dan invers fungsi tingkat SMASederajat disertai pembahasannya.
Jika fx 2x 3 dan f o g 2x² 6x 7 maka berapakah hasil dari gx. Matematika sma kelas 10. Pemetaan tersebut umumnya dinotasikam dengan f.
Daerah asal domain merupakan himpunan. Soal Dan Jawaban Matematika Kelas 10 Tentang Fungsi Untuk menentukan inves suatu fungsi maka yang harus kita lakukan adalah membalik fungsi tersebut. Suatu fungsi dari himpunan A ke himpunan B didefenisikan sebagai suatu relasi dengan ketentuan setiap anggota A dipasangkan dengan tepat satu anggota B.
Diketahui fungsi f x 2x 3 dan g x x 2 x 2. Kkaktrichannelinfo Soal Latihan fungsi Komposisi materi belajar kelas X SMA matematika soal PJJ Pelajaran jarak Jauh. Contoh soal fungsi dan jawabannya yang kami uraikan secara lengkap dan jelas sehingga mudah dipahami.
X 2 3x 14 b. Matematika kelas 10 tentang fungsi dan kuadrat review materi tips trik serta pembahasan soal ayo dukung channel bimbel smarrt sebagai. Begitulah cara menentukan invers.
Itulah kumpulan contoh soal fungsi komposisi dengan jawaban dan pembahasannya yang bisa kami sajikan kali ini. Kami berterima kasih kepada ralph mcgrelv yang menata soal soal di akhir bab menuliskan banyak soal baru dan memberikan saran yang iuar biasa untuk meningkatkan. Okay Squad sekarang kita coba kerjakan contoh soal di bawah ini supaya kamu semakin mengerti dengan fungsi komposisi.
Matematika smk kelas 10. 3 2. Beranda Matematika Contoh Soal Fungsi Komposisi dan Jawaban Pembahasan Oleh Anas Ilham Diposting pada Juni 25 2020 November 20 2020 Operasi fungsi komposisi tersebut biasa dilambangkan dengan o kemudian dapat dibaca komposisi ataupun bundaran.
Relasi dan fungsi materi relasi dan fungsi merupakan salah satu dasar kita guna memasuki ke materi yang lainnya seperti limit fungsi turunan dan yang lainnya. Berdasarkan notasi tersebut diperoleh beberapa hal sebagai berikut. Download PDF 222 KB.
Soal juga dapat diunduh dengan mengklik tautan berikut. Contoh soal komposisi fungsi kelas 11 soalna. Perhatikan contoh-contoh berikut ini.
Contoh soal relasi dan fungsi matematika smp 1 hollla sobat idschool pada halaman ini idschool akan mengupas tentang contoh soal relasi dan fungsi matematika smp. Nyatakanlah relasi terhadap dengan berikut. Fungsi atau pemetaan merupakan suatu relasi yang khusus.
Suatu pabrik dengan bahan dasar natrium klorida memproduksi garam melalui dua tahap.

Soal Dan Jawaban Fungsi Komposisi Ilmusosial Id
![]()
Latihan Soal Fungsi Komposisi Ilmusosial Id

Contoh Soal Gabungan Fungsi Komposisi Dan Fungsi Invers
Soal Matematika Fungsi Komposisi Docx

Fungsi Komposisi Materi Pengertian Fungsi Invers Contoh Soal

Contoh Soal Dan Pembahasan Relasi Dan Fungsi Kelas 10 Barisan Contoh

13 Soal Soal Fungsi Komposisi Dan Fungsi Invers

Latihan Soal Fungsi Komposisi Ilmusosial Id

Contoh Soal Fungsi Komposisi Dan Jawaban Pembahasan

Intip Solusi Super Menyelesaikan Soal Fungsi Komposisi Buat Kelas 10

Intip Solusi Super Menyelesaikan Soal Fungsi Komposisi Buat Kelas 10

Intip Solusi Super Menyelesaikan Soal Fungsi Komposisi Buat Kelas 10

Contoh Soal F X Di 2021 Matematika Membaca Komposisi
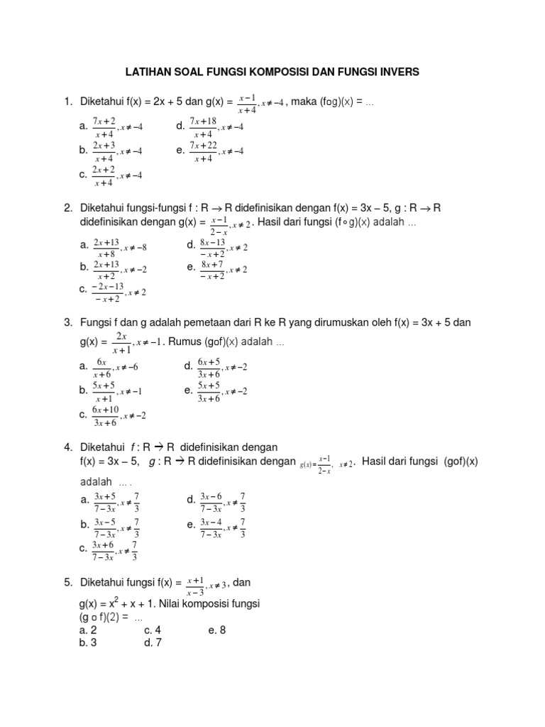
Latihan Soal Fungsi Komposisi Dan Fungsi Invers

Rangkuman Contoh Soal Fungsi Komposisi Berikut Pembahasannya

Intip Solusi Super Menyelesaikan Soal Fungsi Komposisi Buat Kelas 10

Intip Solusi Super Menyelesaikan Soal Fungsi Komposisi Buat Kelas 10

Contoh Soal Fungsi Sma Matematika Ipa Idschool

Posting Komentar untuk "Kumpulan Soal Matematika Kelas 10 Tentang Fungsi Komposisi"